原名:Spatiotemporal variation of soil heavy metals in China: The pollution status and risk assessment
译名:中国土壤重金属的时空变化:污染现状与风险评价
期刊:Science of the Total Environment
2022年影响因子:9.8
5年影响因子:9.6
在线发表时间:2023.05.01
通讯作者:黄磊
第一单位:南京大学环境学院污染控制与资源再利用国家重点实验室,江苏南京210023
收集了1977—2020年中国土壤中7种金属的污染状况。
介绍了土壤暴露引起的健康风险的时空分布。
7种重金属的积累水平没有进一步增加的趋势。
在七种金属中,确定了优先控制成分。
对时空变化的讨论为土壤管理提供了全面的信息支持。
重金属(Pb、Cd、Hg、Cr、As、Ni和Cu)因其高毒性、持久性和不可逆性,通常被认为是土壤中的主要有害元素。土壤中重金属的积累可归因于自然来源和人为活动。采矿、交通排放、金属冶炼、化工生产、化肥施用等人为活动是土壤金属污染的主要来源。土壤中重金属超标不仅会改变土壤的理化性质,威胁生物多样性,减少粮食产量,而且还会通过食物链在人体内积累,威胁人体健康。
近年来,由于工业化和城市化的快速发展,土壤重金属污染日益突出。根据最新的全国土壤污染状况调查,16.1%的分析样本超过了中国环境保护部规定的环境质量标准,其中重金属是主要污染物(82.4%)。其中,铅、镉、汞、铬、砷、氮、氮、碳等污染物的超标量为1.5%,7.0%,1.6%,1.1%,2.7%,4%,8%和2.1%。
针对中国土壤金属污染问题开展了大量研究。然而,以往的研究大多集中在小范围或特定时间点的土壤污染状况,没有显示全国范围内金属污染状况的时空分布。Gu等(2014)对中国珠江口垦殖农田土壤重金属污染现状进行了研究。结果显示,Cd似乎是最普遍的污染物,144个样本中有96.5%的Cd浓度高于II类标准。Ma etal(2016)研究了苏州矿区土壤重金属浓度,发现土壤已受到Cu、Zn、Pb、Cd的污染,其中Cd在土壤中的最高Igeo值为6.0,属于“极度污染”类别。有必要在全国范围内对不同类型土壤重金属污染的时空分布及相关健康风险进行全面探讨,不仅可以更好地了解土壤污染现状,而且可以为土壤治理和环境保护政策提供重要信息。
为了填补这一空白,我们收集了1977年至2020年在中国进行的研究数据。主要目的是: (1)在全国范围内,考虑不同土地利用类型,评价城市中铅(Pb)、镉(Cd)、汞(Hg)、铬(Cr)、砷(As)、镍(Ni)、砷(As)等重金属污染状况; (2)显示近40 a中国土壤重污染的时空变化特征; (3)识别中国土壤重金属污染热点区域; (4)评估土壤重金属污染的生态健康风险。该研究可为土壤管理和重金属污染控制提供科学、全面的知识。 在本研究中,我们提取了土壤中铅(Pb)、镉(Cd)、汞(Hg)、铬(Cr)、砷(As)、镍(Ni)和铜(Cu)七种重金属的浓度,评估了1977年至2020年土壤重金属浓度的时空分布,并在全国范围内估计了生态和人类健康风险。在7种金属中,铅和砷的相关风险较其他金属更为严重。从1977-2020年7种重金属地积累指数的时间变化趋势看,7种重金属地积累指数没有进一步增加的趋势。在不同的土地利用类型中,矿区的风险较高。总体而言,东南地区污染较西北地区严重。儿童和成年妇女被确定为优先保护的群体。本文基于不同土地利用类型和时空变化特征,对中国7种土壤重金属的生态健康风险进行了综合评价,为土壤重金属污染及其相关健康风险的管理和减少提供了重要依据。

Fig. 1. Boxplots of the heavy metal concentrations (mg/kg) for the examined sampling sites.
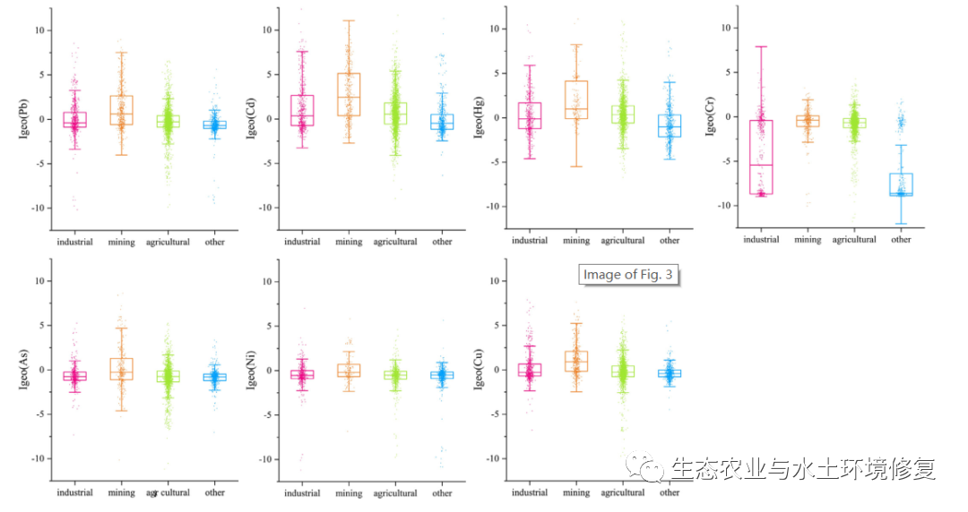
Fig. 2. Boxplots of Igeo values for seven heavy metals in different land types.
基于1977-2020年中国土壤重金属污染数据,分析了近40年中国土壤重金属污染、潜在生态风险和人体健康风险的时空变化特征。7种重金属中,镉和汞污染较严重。铅是主要的非致癌风险因子,而砷对公众具有严重的致癌风险。在不同的土地利用类型中,采矿和工业区(如电子工厂和电子废物拆解区)的土壤样本受到严重污染,对环境和人类健康构成更严重的风险,突出表明需要在这些地区进行紧急和严格的控制。不同人群的非致癌风险顺序为儿童b>成年女性>成年男性,而致癌风险顺序为成年女性>成年男性>儿童不同。应将儿童和成年妇女确定为优先控制人群。
随着时间的推移,相关的研究越来越多,主要集中在从中国东部到中西部地区。对于5个时间段土壤重金属污染的总体趋势,7种重金属的Igeo值没有进一步增加的趋势。高健康风险点主要分布在黑河-腾冲线东南部和内蒙古地区。总的来说,本研究可以提高我们对中国土壤重金属污染状况的长期认识,为进一步治理和减少土壤重金属污染提供重要信息。
原文链接:
https://doi.org/10.1016/j.scitotenv.2023.161768
黑龙江林口稻蟹科技小院
培养单位:东北农业大学
联合培养单位:黑龙江省林口县农业农村局
版权所有 全国农业专业学位研究生教育指导委员会 版权所有 Copyright © All Rights Resserved 京ICP备 05004632号-3
原名:Spatiotemporal variation of soil heavy metals in China: The pollution status and risk assessment
译名:中国土壤重金属的时空变化:污染现状与风险评价
期刊:Science of the Total Environment
2022年影响因子:9.8
5年影响因子:9.6
在线发表时间:2023.05.01
通讯作者:黄磊
第一单位:南京大学环境学院污染控制与资源再利用国家重点实验室,江苏南京210023
收集了1977—2020年中国土壤中7种金属的污染状况。
介绍了土壤暴露引起的健康风险的时空分布。
7种重金属的积累水平没有进一步增加的趋势。
在七种金属中,确定了优先控制成分。
对时空变化的讨论为土壤管理提供了全面的信息支持。
重金属(Pb、Cd、Hg、Cr、As、Ni和Cu)因其高毒性、持久性和不可逆性,通常被认为是土壤中的主要有害元素。土壤中重金属的积累可归因于自然来源和人为活动。采矿、交通排放、金属冶炼、化工生产、化肥施用等人为活动是土壤金属污染的主要来源。土壤中重金属超标不仅会改变土壤的理化性质,威胁生物多样性,减少粮食产量,而且还会通过食物链在人体内积累,威胁人体健康。
近年来,由于工业化和城市化的快速发展,土壤重金属污染日益突出。根据最新的全国土壤污染状况调查,16.1%的分析样本超过了中国环境保护部规定的环境质量标准,其中重金属是主要污染物(82.4%)。其中,铅、镉、汞、铬、砷、氮、氮、碳等污染物的超标量为1.5%,7.0%,1.6%,1.1%,2.7%,4%,8%和2.1%。
针对中国土壤金属污染问题开展了大量研究。然而,以往的研究大多集中在小范围或特定时间点的土壤污染状况,没有显示全国范围内金属污染状况的时空分布。Gu等(2014)对中国珠江口垦殖农田土壤重金属污染现状进行了研究。结果显示,Cd似乎是最普遍的污染物,144个样本中有96.5%的Cd浓度高于II类标准。Ma etal(2016)研究了苏州矿区土壤重金属浓度,发现土壤已受到Cu、Zn、Pb、Cd的污染,其中Cd在土壤中的最高Igeo值为6.0,属于“极度污染”类别。有必要在全国范围内对不同类型土壤重金属污染的时空分布及相关健康风险进行全面探讨,不仅可以更好地了解土壤污染现状,而且可以为土壤治理和环境保护政策提供重要信息。
为了填补这一空白,我们收集了1977年至2020年在中国进行的研究数据。主要目的是: (1)在全国范围内,考虑不同土地利用类型,评价城市中铅(Pb)、镉(Cd)、汞(Hg)、铬(Cr)、砷(As)、镍(Ni)、砷(As)等重金属污染状况; (2)显示近40 a中国土壤重污染的时空变化特征; (3)识别中国土壤重金属污染热点区域; (4)评估土壤重金属污染的生态健康风险。该研究可为土壤管理和重金属污染控制提供科学、全面的知识。 在本研究中,我们提取了土壤中铅(Pb)、镉(Cd)、汞(Hg)、铬(Cr)、砷(As)、镍(Ni)和铜(Cu)七种重金属的浓度,评估了1977年至2020年土壤重金属浓度的时空分布,并在全国范围内估计了生态和人类健康风险。在7种金属中,铅和砷的相关风险较其他金属更为严重。从1977-2020年7种重金属地积累指数的时间变化趋势看,7种重金属地积累指数没有进一步增加的趋势。在不同的土地利用类型中,矿区的风险较高。总体而言,东南地区污染较西北地区严重。儿童和成年妇女被确定为优先保护的群体。本文基于不同土地利用类型和时空变化特征,对中国7种土壤重金属的生态健康风险进行了综合评价,为土壤重金属污染及其相关健康风险的管理和减少提供了重要依据。

Fig. 1. Boxplots of the heavy metal concentrations (mg/kg) for the examined sampling sites.
Fig. 2. Boxplots of Igeo values for seven heavy metals in different land types.
基于1977-2020年中国土壤重金属污染数据,分析了近40年中国土壤重金属污染、潜在生态风险和人体健康风险的时空变化特征。7种重金属中,镉和汞污染较严重。铅是主要的非致癌风险因子,而砷对公众具有严重的致癌风险。在不同的土地利用类型中,采矿和工业区(如电子工厂和电子废物拆解区)的土壤样本受到严重污染,对环境和人类健康构成更严重的风险,突出表明需要在这些地区进行紧急和严格的控制。不同人群的非致癌风险顺序为儿童b>成年女性>成年男性,而致癌风险顺序为成年女性>成年男性>儿童不同。应将儿童和成年妇女确定为优先控制人群。
随着时间的推移,相关的研究越来越多,主要集中在从中国东部到中西部地区。对于5个时间段土壤重金属污染的总体趋势,7种重金属的Igeo值没有进一步增加的趋势。高健康风险点主要分布在黑河-腾冲线东南部和内蒙古地区。总的来说,本研究可以提高我们对中国土壤重金属污染状况的长期认识,为进一步治理和减少土壤重金属污染提供重要信息。
原文链接:
https://doi.org/10.1016/j.scitotenv.2023.161768
版权所有 全国农业专业学位研究生教育指导委员会
版权所有 Copyright © All Rights Resserved
京ICP备 05004632号-3